area voluta e creata al solo scopo informativo scolastico
          INTERNET FREE ZAPPING      


Il quesito

 

Nello studio delle successioni vi sono vari teoremi tra cui quello dei "due carabinieri". Sapresti dirmi in che cosa consiste e soprattutto perchè si chiama così ?
Grazie

 

La risposta

Il teorema dei due carabinieri, anche detto del confronto, si chiama così perché se una successione "sta in mezzo" a due successioni (i due carabinieri) che convergono allo stesso limite allora anche tale successione converge a quel limite.

Volendo essere più rigorosi, "stare in mezzo" significa essere compreso, cioè la successione deve essere minore uguale di una e maggiore o uguale dell'altra. E' importante osservare che tale condizione non è richiesta sempre, ma soltanto a partire da un certo n in poi (si dice definitivamente). Per maggiore completezza di seguito viene enunciato il Teorema e si fornisce un esempio.

Teorema dei due carabinieri o del confronto

Siano bn e cn due successioni tali che:

Se an è una successione tale che risulta definitivamente (cioè da un certo n in poi):

allora si ha:

L'utilità di questo teorema consiste nel fatto che esso consente di calcolare il limite di una successione a partire da quello di altre a patto che si riesca a precisare la disuguaglianza dell'ipotesi.

Esempio

Consideriamo le successioni:

bn = 0 (successione costante, che evidentemente tende a zero);

(successione che tende a zero)

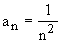
Sia:

Essendo:

allora:

 

 


comune@piazzabrembana.com  |  turisti@piazzabrembana.com  |  alimentaristi@piazzabrembana.com  casarasa@piazzabrembana.com  |  regcri@piazzabrembana.com | kcpcas@tin.it

Copyright © 2000 http://www.piazzabrembana.com/ All rights reserved.
Reference Code: 5569 G.C. Web Master