area voluta e creata al solo scopo informativo scolastico
          INTERNET FREE ZAPPING      


Il quesito

 

E' dato un triangolo di vertici: O(0,0) A(6,0) B(0,4).

Condurre parallelemente all'asse delle x una retta che divida il triangolo in due parti aventi aree uguali.

Trovo l'area che è 12 e quindi la metà 6 ma poi come si deve fare? Grazie

 

La risposta

 

Supponiamo che la domanda fosse stata di trovare l'area delle due figure che si ottengono con la retta di equazione:

y = 2

Sono sicuro che in questo caso avresti seguito questo procedimento:

  1. determino il punto di intersezione della retta di equazione y = 2 con l'ipotenusa del triangolo che ha equazione y/4+x/6 =1 (equazione segmentaria della retta);

  2. determino la lunghezza della base del triangolo e quindi della base minore del trapezio;

  3. calcolo le due aree.

Il procedimento da seguire nel caso del problema da te posto è esattamente lo stesso; l'unica differenza sta nel fatto che non è nota l'equazione della retta orizzontale che divide in due la figura assegnata. Sappiamo solamente che tale retta avrà una equazione del tipo y = a con 0 < a < 4 (per altri valori di a la retta non dividerebbe la figura in due parti). Ora quello che bisogna fare è seguire il procedimento descritto sopra in funzione di a. Nell'esempio precedente a = 2 ma tale valore non soddisfa le condizioni del problema (uguaglianza delle due aree). Pertanto la risoluzione di questo problema richiede di determinare a imponendo che le due aree siano uguali. Eseguendo i calcoli le aree non saranno numeri, ma espressioni in cui compare a. Alla fine, imponendo l'uguaglianza delle due aree si trova il valore di a (e contemporaneamente il valore dell'area).

Al variare della posizione della retta orizzontale di equazione y = a il punto di intersezione con l'ipotenusa del triangolo si trova risolvendo il sistema:

Da cui si ottiene che le coordinate di tale punto sono:

y = a

Con riferimento alla figura sopra si ha che:

  • la base del triangolo e la base minore del trapezio sono pari a ;

  • l'altezza del triangolo è pari a 4-a;

  • l'altezza del trapezio è pari ad a;

  • la base maggiore del trapezio è pari a 6.

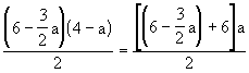
Dunque si può scrivere:

A questo punto, prima di proseguire, è opportuno controllare la correttezza di quanto scritto sino ad ora considerando i cosiddetti casi particolari.

 

Casi particolari

Se a = 0 il trapezio ha area nulla e il triangolo area pari a 12;

se a = 4 il trapezio degenera in un triangolo con are a pari a 12 e il triangolo ha area nulla.

 

Se sono correte le formule scritte sopra devono fornire lo stesso risultato.

Dopo aver effettuato questa verifica imponiamo che le due aree siano uguali, si ottiene l'equazione:

 

Svolgendo i passaggi si perviene all'equazione di secondo grado:

3a2 – 24a + 24 = 0

che ammette le due soluzioni:

In base al significato geometrico dell'equazione che abbiamo risolto solamente la seconda è accettabile (ricordiamo che cercavamo un valore di a tale che 0 < a < 4).

In conclusione la retta cercata ha equazione:

Come ulteriore verifica si può calcolare l'area delle due figure sostituendo nelle relative formule il valore do a trovato. Si ottiene:

e come è giusto le due aree sono uguali.

 


comune@piazzabrembana.com  |  turisti@piazzabrembana.com  |  alimentaristi@piazzabrembana.com  casarasa@piazzabrembana.com  |  regcri@piazzabrembana.com | kcpcas@tin.it

Copyright © 2000 http://www.piazzabrembana.com/ All rights reserved.
Reference Code: 5569 G.C. Web Master